Skip to content

开启魔法

网站运营,移动网站运营,站长运营,站长经验,网站运营资讯

  • Next 台积电联发科今年将加大研发投入 台积电8成资本支出将投向先进工艺
  • Previous 诺基亚8.2 5G渲染图曝光:升降摄像头+环形四摄

标签

AR art Astra best Dropshipping Elementor HM hosting IT load POP SS Tor VPN VPS WP 使用 分享 发货 可能 吴明毅 商业评论 地址 存在 建网站 推荐 支持 文章 方法 更新 机 步骤 漫画家 潇湘Lee 用 申请 网站 老刀 自己 芒果 设置 通 速卖通 问题 驼鹿

ad

           openmagic_cn_all_square

近期文章

  • 第三代人形机器人预计即将发布
  • 计划自主开发图形处理器,已列入资本支出项目
  • 首个大规模人形机器人生产工厂投入运营,年产能达100万台
  • 福特宣布停止电动汽车业务,四年亏损超过百亿
  • 一季度财报发布:营收223亿美元,净利润同比增长超过50%
  • 混元Hy3预览发布并开源:首个重建模型,智能体能力显著提升
  • 智能座舱解决方案累计搭载超1800万辆,智能驾驶云图新增搭载量同比增长三倍
  • 汽车智能化不仅是人工智能在车辆上的应用,更是对汽车行业的变革。
  • 一季度财报显示营收223.87亿美元 净利润同比大增环比下降
  • 编程中AI应用生成的新代码比例超过70%
  • 未来AI芯片将面临严重短缺,自制芯片不足将引发瓶颈问题
  • 2026年第一季度营收223.9亿美元,调整后净利润同比增长56%
  • 18系列发布,骁龙8 Elite Gen6规格曝光:采用2nm工艺与新架构
  • 混元3.0大模型发布,人工智能性能提升40%
  • 2025年7个月交付10万台,销售额超400亿
  • 累计下架侵权视频超53.8万条
  • 新款手机配置曝光:无主动散热风扇,影像方案尚未确定
  • 手机性能揭秘:双亿像素镜头与超长续航电池
  • 加强版权保护以应对AI时代的挑战
  • Y600 Pro出现在终端产品库:配备10200mAh大容量电池
  • 俞敏洪率领10人团队前往南极
  • 推出6款新产品,包括智能设备和监控设备等
  • 6万家企业指控云服务定价不公,面临21亿英镑集体诉讼
  • 暂停页面的争议广告被撤回并展开调查
  • 汽车出行AI助手发布:从被动响应到主动理解,智能座舱迎来AI时代
  • 新车型上市,会员购车享95折,增程版起售价127155元
  • 双董事长身份:推动人工智能商业模式创新与突破
  • 游戏本与新款系列发布
  • Siri团队负责人可能辞职:职位变动引发心理落差
  • 2026财年第四季度净利润达到2.45亿美元,同比实现增长
  • 高管称最新光刻机价格太高,暂不考虑采购
  • 发布愿景:深耕中国,引领全球
  • 马斯克承认HW3无法实现完全自动驾驶,将建设“迷你工厂”协助升级设备
  • 第十二届青年大会将于5月16日召开
  • 阿里与腾讯洽谈投资DeepSeek,估值提升至1365亿元
  • 洽谈投资,理想汽车澄清“走私”传闻
  • 积极推动智能辅助驾驶在国内市场的应用
  • 地图更新存在严重问题,功能缺陷明显
  • 宁德时代回应车企服务,年净利润722亿超多家上市公司总和
  • 本田年底退出韩国市场
    • 虚拟信用卡
    • 美国开户
    • 互联网技术
    • 电商
    • Current Page Parent 互联网资讯
    • 营销
    • Current Page Parent 人工智能
    • 短视频
    • 智能汽车
    • Google
    • 互联网技术
    • Current Page Parent 互联网资讯
    • 营销
    • 电商
    • Current Page Parent 人工智能
    • 虚拟信用卡
    • 美国开户
    • 互联网技术
    • 电商
    • Current Page Parent 互联网资讯
    • 营销
    • Current Page Parent 人工智能
    • 短视频
    • 智能汽车
    • Google
    • 互联网技术
    • Current Page Parent 互联网资讯
    • 营销
    • 电商
    • Current Page Parent 人工智能

    互联网资讯 / 人工智能 · 2023年11月9日 0

    openmagic_cn_banner

    一文了解卷积神经网络基础,建议收藏

    今 openmagic_cn_banner

    CNN的一文了解卷积神经网络基础,建议收藏

    LeNet openmagic_cn_banner

    神经一文了解卷积神经网络基础,建议收藏

    其实全一文了解卷积神经网络基础,建议收藏

    那么一文了解卷积神经网络基础,建议收藏

    BP神经实例:利一文了解卷积神经网络基础,建议收藏

    一文了解卷积神经网络基础,建议收藏

    之一文了解卷积神经网络基础,建议收藏

    一文了解卷积神经网络基础,建议收藏

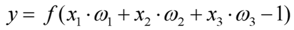
    也就是说,每个数一文了解卷积神经网络基础,建议收藏

    首先将输入层的神经元数一文了解卷积神经网络基础,建议收藏

    假设一文了解卷积神经网络基础,建议收藏

    一文了解卷积神经网络基础,建议收藏

    在一文了解卷积神经网络基础,建议收藏

    上图一文了解卷积神经网络基础,建议收藏

    为了大

    Share on Facebook
    Share on X

    You may also like...

    • 短剧因宣扬不健康家庭观被禁,放大夫妻婆媳矛盾

      短剧因宣扬不健康家庭观被禁,放大夫妻婆媳矛盾

    • 淘宝客需要等待多长时间才能在店铺开通后生效?

      淘宝客需要等待多长时间才能在店铺开通后生效?

    • 中国广核在广东设立能源公司,注册资本达1亿

      中国广核在广东设立能源公司,注册资本达1亿

    发表评论 取消回复

    电子邮件地址不会被公开。 必填项已用*标注

    openmagic_cn_banner
    津ICP备2023002605号-1

    openmagic.cn

    Powered by WordPress. Theme by Alx.